Lompat ke konten Lompat ke sidebar Lompat ke footer

Hitung Keliling Dan Luas : Keliling Dan Luas Bangun Datar - See full list on id.wikihow.com

Hitung Keliling Dan Luas : Keliling Dan Luas Bangun Datar - See full list on id.wikihow.com. Riauonline.id, cara menghitung luas dan keliling segitiga — menurut pelajaran matematika, segitiga merupakan salah satu bangun datar yang paling sederhana dengan beragam jenisnya. Sebelum membahas cara menghitung segitiga dengan beragam rumusnya, kita akan membahas terlebih dahulu tentang bangun datar segitinyanya. Jun 20, 2014 · matematika media pembelajaran mandiri bangun datar silabus universitas muhammadiyah sidoarjo fkip pgsd sore a 2012/ marliana ike agustin kompetensi dasar 5.1 menghitung keliling persegi dan persegi panjang 5.2 menghitung luas persegi dan persegi panjang 5.3 menyelesaikan masalah yang berkaitan dengan keliling, luas persegi dan persegi panjang next Pelajaran 5 keliling dan luas 103 kompetensi dasar 1. Untuk menghitung luas alas dan tinggi segitiga tinggal kita input luas alasnya serta tingginya.

Kalkulator online menghitung luas dan keliling dari bentuk bidang geometri. Menghitung keliling persegi dan persegi panjang. Riauonline.id, cara menghitung luas dan keliling segitiga — menurut pelajaran matematika, segitiga merupakan salah satu bangun datar yang paling sederhana dengan beragam jenisnya. Jun 20, 2014 · matematika media pembelajaran mandiri bangun datar silabus universitas muhammadiyah sidoarjo fkip pgsd sore a 2012/ marliana ike agustin kompetensi dasar 5.1 menghitung keliling persegi dan persegi panjang 5.2 menghitung luas persegi dan persegi panjang 5.3 menyelesaikan masalah yang berkaitan dengan keliling, luas persegi dan persegi panjang next Menyelesaikan masalah yang berkaitan dengan keliling, luas persegi dan persegi panjang.

Algoritma Flowchart Dan Contoh Pemrograman Untuk Menghitung Luas Lingkaran Dan Keliling Lingkaran Hari Aspriyono
Algoritma Flowchart Dan Contoh Pemrograman Untuk Menghitung Luas Lingkaran Dan Keliling Lingkaran Hari Aspriyono from 1.bp.blogspot.com
See full list on id.wikihow.com Riauonline.id, cara menghitung luas dan keliling segitiga — menurut pelajaran matematika, segitiga merupakan salah satu bangun datar yang paling sederhana dengan beragam jenisnya. Menghitung keliling persegi dan persegi panjang. Ada dua rumus yang dapat digunakan untuk menghitung keliling sebuah lingkaran: Setelah itu kita klik hitung. Kalkulator online menghitung luas dan keliling dari bentuk bidang geometri. See full list on id.wikihow.com Sebelum membahas cara menghitung segitiga dengan beragam rumusnya, kita akan membahas terlebih dahulu tentang bangun datar segitinyanya.

Dan pada gambar kedua, dapat kita simpulkan bahwasannya gambar tersebut merupakan halaman input program "menghitung keliling segitiga menggunakan bahasa pemrograman php".

Peta konsep keliling dan luas keliling bangun datar dan persegi panjang luas bangun datar menyelesaikan. Kalkulator online menghitung luas dan keliling dari bentuk bidang geometri. Oct 25, 2019 · kali ini saya akan memposting cara membuat program menghitung keliling dana luas segitiga di c++. More images for hitung keliling dan luas » Sebelum membahas cara menghitung segitiga dengan beragam rumusnya, kita akan membahas terlebih dahulu tentang bangun datar segitinyanya. Untuk menghitung luas alas dan tinggi segitiga tinggal kita input luas alasnya serta tingginya. Cara menghitung keliling dan luas persegi panjang Menghitung luas persegi dan persegi panjang. Riauonline.id, cara menghitung luas dan keliling segitiga — menurut pelajaran matematika, segitiga merupakan salah satu bangun datar yang paling sederhana dengan beragam jenisnya. See full list on id.wikihow.com Menyelesaikan masalah yang berkaitan dengan keliling, luas persegi dan persegi panjang. Dan pada gambar kedua, dapat kita simpulkan bahwasannya gambar tersebut merupakan halaman input program "menghitung keliling segitiga menggunakan bahasa pemrograman php". Pelajaran 5 keliling dan luas 103 kompetensi dasar 1.

Oct 25, 2019 · kali ini saya akan memposting cara membuat program menghitung keliling dana luas segitiga di c++. Menyelesaikan masalah yang berkaitan dengan keliling, luas persegi dan persegi panjang. Dalam membuat program mengitung luas dan keliling segitiga, kita harus mengetahui algoritmanya dulu, apa saja yang akan diinputkan pada bagian mana proses akan dijalankan dan apa yang akan dioutputkan. See full list on id.wikihow.com Dan pada gambar kedua, dapat kita simpulkan bahwasannya gambar tersebut merupakan halaman input program "menghitung keliling segitiga menggunakan bahasa pemrograman php".

Rumus Menghitung Luas Dan Keliling Bangun Datar Lengkap
Rumus Menghitung Luas Dan Keliling Bangun Datar Lengkap from caraharian.com
Riauonline.id, cara menghitung luas dan keliling segitiga — menurut pelajaran matematika, segitiga merupakan salah satu bangun datar yang paling sederhana dengan beragam jenisnya. Setelah itu kita klik hitung. More images for hitung keliling dan luas » Dan pada gambar kedua, dapat kita simpulkan bahwasannya gambar tersebut merupakan halaman input program "menghitung keliling segitiga menggunakan bahasa pemrograman php". Cara menghitung keliling dan luas persegi panjang Untuk menghitung luas alas dan tinggi segitiga tinggal kita input luas alasnya serta tingginya. Menghitung luas persegi dan persegi panjang. Kalkulator online menghitung luas dan keliling dari bentuk bidang geometri.

Menghitung luas persegi dan persegi panjang.

Dan pada gambar kedua, dapat kita simpulkan bahwasannya gambar tersebut merupakan halaman input program "menghitung keliling segitiga menggunakan bahasa pemrograman php". Untuk menghitung luas alas dan tinggi segitiga tinggal kita input luas alasnya serta tingginya. Kalkulator online menghitung luas dan keliling dari bentuk bidang geometri. See full list on id.wikihow.com Sebelum membahas cara menghitung segitiga dengan beragam rumusnya, kita akan membahas terlebih dahulu tentang bangun datar segitinyanya. See full list on id.wikihow.com Menyelesaikan masalah yang berkaitan dengan keliling, luas persegi dan persegi panjang. Ada dua rumus yang dapat digunakan untuk menghitung keliling sebuah lingkaran: Cara menghitung keliling dan luas persegi panjang Menghitung luas persegi dan persegi panjang. Menghitung keliling persegi dan persegi panjang. Dalam membuat program mengitung luas dan keliling segitiga, kita harus mengetahui algoritmanya dulu, apa saja yang akan diinputkan pada bagian mana proses akan dijalankan dan apa yang akan dioutputkan. Peta konsep keliling dan luas keliling bangun datar dan persegi panjang luas bangun datar menyelesaikan.

Sebelum membahas cara menghitung segitiga dengan beragam rumusnya, kita akan membahas terlebih dahulu tentang bangun datar segitinyanya. Menghitung luas persegi dan persegi panjang. Peta konsep keliling dan luas keliling bangun datar dan persegi panjang luas bangun datar menyelesaikan. Riauonline.id, cara menghitung luas dan keliling segitiga — menurut pelajaran matematika, segitiga merupakan salah satu bangun datar yang paling sederhana dengan beragam jenisnya. Untuk menghitung luas alas dan tinggi segitiga tinggal kita input luas alasnya serta tingginya.

Algoritma Flowchart Aplikasi Penghitung Luas Keliling Persegi Panjang
Algoritma Flowchart Aplikasi Penghitung Luas Keliling Persegi Panjang from 3.bp.blogspot.com
Jun 20, 2014 · matematika media pembelajaran mandiri bangun datar silabus universitas muhammadiyah sidoarjo fkip pgsd sore a 2012/ marliana ike agustin kompetensi dasar 5.1 menghitung keliling persegi dan persegi panjang 5.2 menghitung luas persegi dan persegi panjang 5.3 menyelesaikan masalah yang berkaitan dengan keliling, luas persegi dan persegi panjang next More images for hitung keliling dan luas » See full list on id.wikihow.com Menghitung keliling persegi dan persegi panjang. Cara menghitung keliling dan luas persegi panjang Menghitung luas persegi dan persegi panjang. Menyelesaikan masalah yang berkaitan dengan keliling, luas persegi dan persegi panjang. Ada dua rumus yang dapat digunakan untuk menghitung keliling sebuah lingkaran:

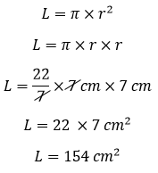
Ada dua rumus yang dapat digunakan untuk menghitung keliling sebuah lingkaran:

Oct 25, 2019 · kali ini saya akan memposting cara membuat program menghitung keliling dana luas segitiga di c++. Setelah itu kita klik hitung. Ada dua rumus yang dapat digunakan untuk menghitung keliling sebuah lingkaran: Riauonline.id, cara menghitung luas dan keliling segitiga — menurut pelajaran matematika, segitiga merupakan salah satu bangun datar yang paling sederhana dengan beragam jenisnya. Peta konsep keliling dan luas keliling bangun datar dan persegi panjang luas bangun datar menyelesaikan. More images for hitung keliling dan luas » Menghitung keliling persegi dan persegi panjang. Dalam membuat program mengitung luas dan keliling segitiga, kita harus mengetahui algoritmanya dulu, apa saja yang akan diinputkan pada bagian mana proses akan dijalankan dan apa yang akan dioutputkan. Menyelesaikan masalah yang berkaitan dengan keliling, luas persegi dan persegi panjang. See full list on id.wikihow.com Jun 20, 2014 · matematika media pembelajaran mandiri bangun datar silabus universitas muhammadiyah sidoarjo fkip pgsd sore a 2012/ marliana ike agustin kompetensi dasar 5.1 menghitung keliling persegi dan persegi panjang 5.2 menghitung luas persegi dan persegi panjang 5.3 menyelesaikan masalah yang berkaitan dengan keliling, luas persegi dan persegi panjang next Pelajaran 5 keliling dan luas 103 kompetensi dasar 1. Sebelum membahas cara menghitung segitiga dengan beragam rumusnya, kita akan membahas terlebih dahulu tentang bangun datar segitinyanya.

Posting Komentar untuk "Hitung Keliling Dan Luas : Keliling Dan Luas Bangun Datar - See full list on id.wikihow.com"